题目: Remainder terms and stability for a class of nonlocal Sobolev inequality
(翻译:一类非局部Sobolev不等式的稳定性及其余项估计)
报告专家:杨敏波教授,浙江师范大学数学科学学院教授
时间:2023年11月25日(周六)14:00 - 15:00
地点:9-122会议室
报告摘要:

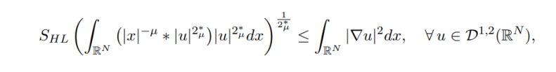
摘要翻译:在本报告中,我将介绍下列非局部Sobolev不等式
的稳定性及其余项估计,其中 * 表示卷积,
,正常数
仅依赖于
,
0,N)且满足
(0,4].
专家简介:杨敏波教授,浙江师范大学数学科学学院院长,主要从事非线性分析和椭圆型方程的研究工作,在Calc. Var. Partial Differential Equations、Mathematische Zeitschrift、Commun. Anal. Geom.、J. Differential Equations、Nonlinearity等国际知名刊物发表论文80余篇,目前已主持国家自然科学基金面上项目、国际(地区)合作交流项目、省基金重点项目多项。
作者:郭伦;编辑:刘鹍;审核:郭晖;上传:郭敏。